晶振官方博客
更多>>Quartz Crystal建模的原理與操作
來源:http://www.ddrn.com.cn 作者:康華爾電子 2019年08月03
Quartz Crystal應用已經是非常廣泛了,人們研究并使用了一百多年,發展到今日超萬家專業晶振廠家的規模,為了使石英晶體的用處發揮到更大,眾多制造商和工程仍然在不斷的測試,鉆研,實驗的去提升晶體晶振的性能.頻率頻段也從原來的KHz,MHz級,更新到更高的GHz頻段,尺寸體積也越做越小,已有部分制造商成功開發出1.0*0.8mm大小的貼片晶振,融合了多種領先的技術,建模方法就是其中一種.
本文章描述了一種具有負載電容的晶體建模方法.時鐘發生器(CLKgen)設計人員可以使用晶體模型輕松確定所需頻率的負載電容.電路和系統設計人員可以使用該模型來模擬晶體振蕩器的行為.為了模擬晶體,我們使用一個簡單的電路來測量不同負載電容下的振蕩頻率.然后,我們使用晶體電路模型來插值測量數據以確定電路模型中的參數.
石英晶體已廣泛用于時鐘發生器和合成器,以產生精確的參考頻率.市場上最具成本效益的晶體頻率范圍為30kHz至30MHz,在0°C至70°C的溫度范圍內精度為50-100ppm.要適當地使用或設計石英晶體振蕩器,了解晶體在其負載條件下的行為非常重要.在本應用筆記中,我們將介紹一種使用負載電容對晶體進行建模的方法,并展示該模型的應用.
測試設置如圖1所示. 在設置中,A1和A2是逆變器;CL1和CL2是負載電容.在測試期間,CL1=CL2,當變頻器電源電壓Vcc=3.1V且Vcc=2.3V時,該值從5pf變化到59pf.測試中的晶振在負載電容為14pF時的標稱頻率為27MHz.應該注意,晶體的實際負載電容等于CL1||CL2加上板的寄生電容和逆變器的端子.
檢測結果
表1和2分別給出了Vcc=3.1V和2.3V的兩組測量值.
兩個測量數據集也繪制在圖2中

圖2.晶體頻率變化(ppm)與并聯電容值的關系.
從數據測量,我們有以下觀察:
1)負載電容可以顯著改變SMD晶振的振蕩頻率.結果表明,待測晶體的總晶體變化范圍可高達750ppm.
2)頻率變化也取決于Vcc.較低的電源電壓會降低頻率.這可能是由于電源電壓變化引起的逆變器輸入和輸出電容的變化.圖1中的電阻器R2具有降低這種電壓依賴性的作用.但電阻值不能太大;否則會使振蕩器難以啟動.
3)基于數據,晶體頻率對小負載電容更敏感.這意味著在晶體振蕩器的應用中,我們應該使用需要相對較大負載電容的晶體作為其標稱頻率.
4)圖1中的電阻器R1有助于振蕩器啟動.此外,逆變器的字符也會影響有源晶振的性能.應使用高速逆變器.如果變頻器的速度不夠高,振蕩可能無法啟動.
石英晶體的建模
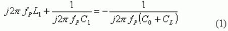
在振蕩器或VCXO設計中,需要晶體模型.通常采用的晶體諧振器模型[1-2]如圖3所示. 接下來,我們將使用表1和表2中給出的測量數據來確定圖3中元件的值.根據[1],在大多數晶體振蕩器應用中,振蕩頻率是圖3中諧振器的并聯頻率.定義CL=CL1||CL2和fp為振蕩頻率,我們可以將阻抗方程寫成

求解fP的等式,

限定

然后我們可以重寫Eq.(2)以矢量形式表示

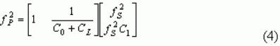
隨著Eq.(4)我們可以直接運行最小二乘估計來估計fs,C1,L1和C0.應注意,R1的值通常由晶體數據表給出.對于我們測試中使用的貼片晶振,R1=40Ω.為了估計C0,在給定電源電壓下,改變C0的值以獲得對測量數據集的最佳最小二乘擬合,假設Vcc的影響僅對C0的值.圖3中模型的估計組件值列出如下

在圖4中,它顯示了由等式1計算的輸出頻率曲線.(2)估計的晶振元件值與測量的頻率相對應.對于Vcc=3.1V的情況,插值的均方根(RMS)為14ppm,對于Vcc=2.3V,插值的均方根為13ppm.

圖4a.最小二乘擬合數據集1(Vcc=3.1V),=5.7pF.
在本應用筆記中,我們展示了一種用于測量石英晶體振蕩頻率的測試裝置和一種估算晶體諧振器模型參數的方法.實際測量揭示了振蕩頻率如何隨負載電容而變化.我們介紹了一種基于測量數據的數值方法,以估計石英晶體諧振器電路模型的參數.如圖4所示,該模型與測量數據緊密匹配,均方根誤差(RMS)為13-14ppm.時鐘發生器設計人員可以使用該模型確定所需頻率的并聯電容值.系統和電路設計工程師可以使用該模型進行系統行為模擬.
本文章描述了一種具有負載電容的晶體建模方法.時鐘發生器(CLKgen)設計人員可以使用晶體模型輕松確定所需頻率的負載電容.電路和系統設計人員可以使用該模型來模擬晶體振蕩器的行為.為了模擬晶體,我們使用一個簡單的電路來測量不同負載電容下的振蕩頻率.然后,我們使用晶體電路模型來插值測量數據以確定電路模型中的參數.
石英晶體已廣泛用于時鐘發生器和合成器,以產生精確的參考頻率.市場上最具成本效益的晶體頻率范圍為30kHz至30MHz,在0°C至70°C的溫度范圍內精度為50-100ppm.要適當地使用或設計石英晶體振蕩器,了解晶體在其負載條件下的行為非常重要.在本應用筆記中,我們將介紹一種使用負載電容對晶體進行建模的方法,并展示該模型的應用.
測試設置如圖1所示. 在設置中,A1和A2是逆變器;CL1和CL2是負載電容.在測試期間,CL1=CL2,當變頻器電源電壓Vcc=3.1V且Vcc=2.3V時,該值從5pf變化到59pf.測試中的晶振在負載電容為14pF時的標稱頻率為27MHz.應該注意,晶體的實際負載電容等于CL1||CL2加上板的寄生電容和逆變器的端子.
檢測結果
表1和2分別給出了Vcc=3.1V和2.3V的兩組測量值.
表1.Vcc=3.1V時可變負載電容的振蕩器頻率
| CL1,CL2(pf) | 五 | 8 | 12 | 15 | 18 | 20 | 22 |
| Fout(MHz) | 27.01411 | 27.00832 | 27.00583 | 27.00395 | 27.00188 | 27.00130 | 27.00037 |
| △Fout(ppm) | 523 | 308 | 216 | 146 | 70 | 48 | 14 |
| CL1,CL2(pf) | 24 | 27 | 33 | 39 | 45 | 50 | 59 |
| Fout(MHz) | 26.99954 | 26.99856 | 26.99687 | 26.99592 | 26.99480 | 26.99424 | 26.99340 |
| △Fout(ppm) | 17 | 53 | 116 | 151 | 193 | 213 | 244 |
表2.Vcc=2.3V時可變負載電容的振蕩器頻率
| CL1,CL2(pf) | 五 | 8 | 12 | 15 | 18 | 20 | 22 |
| Fout(MHz) | 27.01319 | 27.00780 | 27.00542 | 27.00360 | 27.00160 | 27.00106 | 27.00016 |
| △Fout(ppm) | 489 | 288 | 200 | 133 | 59 | 39 | 6 |
| CL1,CL2(pf) | 24 | 27 | 33 | 39 | 45 | 50 | 59 |
| Fout(MHz) | 26.99935 | 26.99837 | 26.99675 | 26.99579 | 26.99468 | 26.99415 | 26.99329 |
| △Fout(ppm) | -24 | -60 | -121 | -156 | -197 | -217 | -249 |

圖2.晶體頻率變化(ppm)與并聯電容值的關系.
1)負載電容可以顯著改變SMD晶振的振蕩頻率.結果表明,待測晶體的總晶體變化范圍可高達750ppm.
2)頻率變化也取決于Vcc.較低的電源電壓會降低頻率.這可能是由于電源電壓變化引起的逆變器輸入和輸出電容的變化.圖1中的電阻器R2具有降低這種電壓依賴性的作用.但電阻值不能太大;否則會使振蕩器難以啟動.
3)基于數據,晶體頻率對小負載電容更敏感.這意味著在晶體振蕩器的應用中,我們應該使用需要相對較大負載電容的晶體作為其標稱頻率.
4)圖1中的電阻器R1有助于振蕩器啟動.此外,逆變器的字符也會影響有源晶振的性能.應使用高速逆變器.如果變頻器的速度不夠高,振蕩可能無法啟動.
石英晶體的建模
在振蕩器或VCXO設計中,需要晶體模型.通常采用的晶體諧振器模型[1-2]如圖3所示. 接下來,我們將使用表1和表2中給出的測量數據來確定圖3中元件的值.根據[1],在大多數晶體振蕩器應用中,振蕩頻率是圖3中諧振器的并聯頻率.定義CL=CL1||CL2和fp為振蕩頻率,我們可以將阻抗方程寫成

求解fP的等式,

限定

然后我們可以重寫Eq.(2)以矢量形式表示

隨著Eq.(4)我們可以直接運行最小二乘估計來估計fs,C1,L1和C0.應注意,R1的值通常由晶體數據表給出.對于我們測試中使用的貼片晶振,R1=40Ω.為了估計C0,在給定電源電壓下,改變C0的值以獲得對測量數據集的最佳最小二乘擬合,假設Vcc的影響僅對C0的值.圖3中模型的估計組件值列出如下

在圖4中,它顯示了由等式1計算的輸出頻率曲線.(2)估計的晶振元件值與測量的頻率相對應.對于Vcc=3.1V的情況,插值的均方根(RMS)為14ppm,對于Vcc=2.3V,插值的均方根為13ppm.

圖4a.最小二乘擬合數據集1(Vcc=3.1V),=5.7pF.
正在載入評論數據...
相關資訊
- [2023-09-26]臺灣SIWARD晶振有著領先全球的光蝕刻制...
- [2023-07-12]淺談決定差分石英晶體振蕩器的振蕩頻率...
- [2023-06-27]SMD時鐘硅振蕩器從0/+70°c到-55/+125°...
- [2023-06-20]GPS接收器專用溫補晶體振蕩器C34-040.0...
- [2023-06-17]Cardinal石英晶體CSM1Z-A5B2C5-40-25.0...
- [2023-06-13]Aker音叉晶體CTS3-32.768-9-20-R為何開...
- [2023-02-16]具備高品質的石英晶體用于無線通信CS-0...
- [2022-09-16]EPSON蘋果手機無線充電器專用晶振Q3805...
- [2022-08-04]Abracon生產非常適合微處理器的時鐘晶體...
- [2022-08-03]西迪斯設計出獨特性能的小型化時鐘振蕩...
- [2022-08-02]村田首推用于消費級的陶瓷諧振器CSTLS8...
- [2022-07-22]常用編碼KC3225K12.0000C1GE00是一款微...





銷售代表
售后服務